合作客戶/
拜耳公司 |
同濟大學 |
聯合大學 |
美國保潔 |
美國強生 |
瑞士羅氏 |
相關新聞Info
-
> 強紫外線輻射對減縮劑抑制水泥石干縮變形效果研究(三)
> 海洋環境表面活性物質來源及對海洋飛沫氣溶膠數濃度、粒徑分布、理化性質的影響(四)
> 激光深熔焊接表面皺紋組織的產生原因及表面張力計算公式
> 膽汁酸通過改變肺泡表面張力調節呼吸功能的機制研究——結果
> 如何有效避免釹鐵硼磁體擴散源成分偏析
> 釕催化劑合成丁炔二醇醚三硅氧烷表面活性劑反應條件及表面張力測定(二)
> 各類塑料薄膜的表面張力特定范圍一覽
> 高性能氟碳防水鎖劑(FS-1)對鹽水溶液表面張力的影響
> 3種助劑對螺蟲乙酯和聯苯菊酯藥液表面張力、金釵石斛菲盾蚧防治效果的影響(二)
> 晶圓級超平整石墨烯載網的批量化制備步驟與應用
推薦新聞Info
-
> 不同礦漿濃度、粒度、伴生礦物、捕收劑和起泡劑對礦漿表面張力的影響(三)
> 不同礦漿濃度、粒度、伴生礦物、捕收劑和起泡劑對礦漿表面張力的影響(二)
> 不同礦漿濃度、粒度、伴生礦物、捕收劑和起泡劑對礦漿表面張力的影響(一)
> 長慶油田隴東地區的CQZP-1助排劑表/界面張力測量及現場應用(三)
> 長慶油田隴東地區的CQZP-1助排劑表/界面張力測量及現場應用(二)
> 長慶油田隴東地區的CQZP-1助排劑表/界面張力測量及現場應用(一)
> 液膜斷裂點與電壓最大值在表面張力測量中的對比研究(二)
> 液膜斷裂點與電壓最大值在表面張力測量中的對比研究(一)
> ?表面張力與表面張力系數測量:概念、方法與科學意義
> 微重力下二極對非均勻旋轉磁場控制半浮區液橋表面張力對流的數值研究(下)
不同溫度和壓力對AOT穩定CO2乳液的界面張力影響(二)
來源:中國石油大學學報(自然科學版) 瀏覽 1134 次 發布時間:2025-02-06
2實驗結果分析
2.1體系界面流變性
2.1.1 CO2乳液體系界面張力實驗
表面活性劑水溶液的密度與純水體系相近,其密度根據飽和水蒸氣溫度-壓力-密度-熱力學參數對照表確定,CO2密度與壓力溫度的關系見圖3。
圖3不同溫度下CO2壓力隨溫度的變化
表面活性劑水溶液液滴在CO2中的形狀隨溫度變化較小,隨壓力變化關系見圖4。
圖4液滴形狀隨壓力的變化
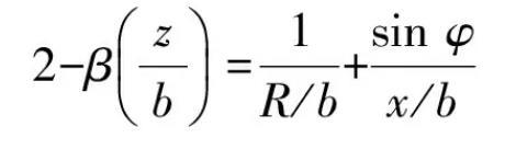
懸滴法測定液體的表面和界面張力原理見圖5。其中,de為懸滴最大直徑;d10為離頂點距離為de處懸滴截面直徑。
(1)
式中,b為懸滴底端(軸x)的曲率半徑;R為懸滴輪廓上一點p(x,z)在紙平面上的主曲率半徑;φ為輪廓線上p(x,z)點處的切線與x軸的夾角;β為體系的Bond number,稱為液滴的形狀因子,因為它的值直接決定了液滴的形狀。
(2)
γ=Δρgα2.
(3)
式中,Δρ為液滴相與周圍相之間的密度差;g為重力加速度;γ為表面/界面張力;α為體系的毛細管常數。
一個懸滴在達到靜力(界面張力對重力)平衡時,其輪廓可通過懸滴底端的曲率半徑b和液滴的形狀因子β來確定。TRACKER-H型界面流變儀就是利用該原理對圖像進行計算處理得出界面相關參數。
(1)壓力對界面張力的影響。壓力對界面張力的影響見圖6。可以看出,CO2-AOT體系的界面張力隨著壓力的升高逐漸降低,約在8 MPa時體系界面張力開始達到最低,之后壓力繼續升高,體系界面張力趨于穩定。原因在于壓力的升高會導致CO2-AOT兩相的密度差減小,有利于體系界面張力的降低;同時高壓使得AOT在CO2中的溶解度增加,使得CO2在兩相界面上吸引更多的表面活性劑分子,有利于表面活性劑降低界面張力。當壓力增加到8 MPa時,此時壓力繼續增加,兩相的密度差和CO2的溶解度系數均增加緩慢,導致界面張力趨于穩定。
圖5懸點法測定界面張力示意圖
圖6不同溫度下壓力對平衡界面張力的影響
(2)溫度對界面張力的影響。溫度對界面張力的影響見圖6。可以看出,當體系壓力一定,體系界面張力隨著溫度的升高而增大,說明溫度的升高不利于體系界面張力的降低。原因在于CO2乳液是熱力學不穩定體系,隨著溫度的升高,CO2本身的溶解度系數和密度均有所降低,分子熱運動的加劇也不利于界面上AOT分子的吸附,導致界面處的AOT分子數目降低,最終導致體系界面張力升高。
2.1.2 CO2乳液體系界面黏彈性實驗
乳液的穩定性很大程度上取決于界面膜的性質,而界面黏彈性是表征界面膜機械強度的重要參數,通常用界面擴張模量(ε)表征界面黏彈性的強弱,定義為界面張力變化與相對界面面積變化的比值,即
ε=dγ/dlnA(4)
式中,γ為界面張力;A為界面面積。
(1)壓力對界面黏彈性的影響。壓力對CO2-AOT水溶液體系擴張模量的影響見圖7。界面的擴張模量與實驗的振蕩頻率有關,實驗選取0.1 Hz為振蕩頻率,振蕩頻率在實驗過程中保持不變,排出振蕩頻率的影響。可以看出,CO2-AOT水溶液體系擴張模量隨著壓力的增加而增大,當壓力升高至8 MPa后體系的擴張模量趨于穩定。這是因為壓力的增加會導致CO2-AOT界面處的黏度增加,流體變稠,界面面積的變化需要更大的力;同時壓力升高導致CO2的密度增加,范德華力增加,對界面處的AOT分子有更大的吸引力,使得AOT分子在界面處更緊密的排列,使得界面黏彈性大大增加,但是壓力升高至8 MPa后,壓力的升高使流體變稠的能力減弱,擴張模量趨于穩定。
圖7不同溫度下擴張模量隨壓力的變化關系
(2)溫度對界面黏彈性的影響。從圖7也可得出溫度對CO2-AOT水溶液體系擴張模量的影響規律。CO2-AOT水溶液體系的擴張模量隨著溫度的升高逐漸降低,說明升高溫度對體系界面黏彈性具有不利影響。其機制在于溫度升高使得CO2對界面處AOT分子的吸引力減弱,不利于AOT分子在界面處的排列,也不利于AOT分子在界面處的吸附,從而導致界面擴張模量降低,界面膜的強度下降。





