合作客戶/
拜耳公司 |
同濟大學 |
聯合大學 |
美國保潔 |
美國強生 |
瑞士羅氏 |
相關新聞Info
推薦新聞Info
-
> 不同礦漿濃度、粒度、伴生礦物、捕收劑和起泡劑對礦漿表面張力的影響(三)
> 不同礦漿濃度、粒度、伴生礦物、捕收劑和起泡劑對礦漿表面張力的影響(二)
> 不同礦漿濃度、粒度、伴生礦物、捕收劑和起泡劑對礦漿表面張力的影響(一)
> 長慶油田隴東地區的CQZP-1助排劑表/界面張力測量及現場應用(三)
> 長慶油田隴東地區的CQZP-1助排劑表/界面張力測量及現場應用(二)
> 長慶油田隴東地區的CQZP-1助排劑表/界面張力測量及現場應用(一)
> 液膜斷裂點與電壓最大值在表面張力測量中的對比研究(二)
> 液膜斷裂點與電壓最大值在表面張力測量中的對比研究(一)
> ?表面張力與表面張力系數測量:概念、方法與科學意義
> 微重力下二極對非均勻旋轉磁場控制半浮區液橋表面張力對流的數值研究(下)
水滴的表面張力使它盡量收縮從而形成球形
來源:知乎 賈明子 瀏覽 4101 次 發布時間:2021-06-21
從高處往下倒水,為什么剛開始水是連成一條線的,往下就成了散開的水珠?有什么方法能讓水一直保持一條線?
先說結論,這是因為所謂的“Plateau–Rayleigh”不穩定性。
然后,我再試圖用大家都能聽懂的白話解釋一下。這個過程中有一個關鍵的物理現象,叫做表面張力。
表面張力,我們簡單形象地理解,可以認為流體的兩相(如氣液)界面就像是一張緊繃的皮膜,這張膜在外力的約束下,總是希望盡可能地收縮。沿著它的表面就有一種張力,就是表面張力。
如果你想用最形象的方式理解表面張力,你可以想象一個吹起來的氣球的表面:氣球的彈力使它盡量收縮從而整體形成球形。相對應地,水滴的表面張力使它盡量收縮從而形成球形。
而這里有一件非常關鍵的事請,就是由于表面張力的存在,彎曲的表面就會在兩側形成壓力差。就好像緊繃的氣球,其內部壓力要高于外部的壓力。這種壓力差來自哪里?當然就是氣球皮膜緊繃的張力。由于氣球的彎曲表面,使得其張力最終表現為內部壓力的升高。
具體講,我們對一個這樣無重力液滴做出分析,它的上半球受力受到三個力的作用:
1、內部液體在截面上對它的凈壓力;
2、外部在上半球面上對它的凈壓力
3、液滴表面受到的沿表面垂直于“斷面”的表面張力。
我們很容易就會看到,由于表面張力的存在,此時內部的壓力肯定要大于外部壓力。那么,這種壓力差的大小是由什么決定的呢?
很顯然,一個決定因素就是張力的大小:皮膜繃的越緊,所能產生的壓力差就越大。但是還有另一個很重要的因素,就是表面彎曲的程度,也就是它的曲率。我們還是用氣球做一個說明,例如下面這個氣球:
氣球內部的氣體壓力處處相等,但是,接觸過這種氣球的人都有一個經驗,就是粗的地方繃得緊,而細的地方繃得就不那么緊。如上圖所示,繃得緊的地方和繃得松的地方,產生的壓力差是相等的,但是他們的曲率是不相等的:曲率越大,同樣的張力所能產生的壓力差就更大。
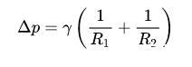
我們有一個公式可以表示這個關系,叫做楊-拉普拉斯方程(Young-Laplace equation):
其中,γ是表面張力,R1和R2分別是兩個方向上的曲率半徑。
那么,我們來看看細流的水柱為何會分散成水滴:這是因為連續的水柱狀態是不穩定的,而水滴的狀態才是穩定的。比如說,下圖是一個細流柱:
我們知道,我們的環境中總是存在著各種干擾,不論我們如何隔離,都不可能消除它:因為水柱自身就存在各種漲落。因此,這個水柱不可能是嚴格的圓柱形,它上面總是有各種“皺紋”的。事實上,現實中的擾動非常之復雜,我們不可能做出具體的分析,但是,我們總是可以把這些擾動看做是一系列正弦波的疊加(傅里葉分解),那么,我們通過對這些正弦波的分析,可以分析出這些干擾的基本特征。如下圖,一個被正弦波干擾的水柱呈這個形狀:
我們可以看到,在不同的地方,柱面的曲率都發生了變化,這種變化和表面張力一起,就導致了水柱當中不同地方內部壓力的變化。那么,我們如何判斷這種影響呢?我們說,如果A點(柱半徑縮小的地方)的壓力上升,B點壓力下降,那么:
在壓力差下,流體從A點流向B點,
流動導致A點進一步縮小,B點進一步增大
進而,A點壓力更加增加,B點的壓力更加減小
流動更加快速
……
如此循環,A點處迅速縮成0,從而崩解,也就是說,這是一種正反饋,表面張力的作用會擴大擾動,水柱不復存在。
但是,如果發生的情況相反,也就是說,擾動導致B點壓力上升,A點壓力下降,那么,水就會從B點流向A點,這是一種負反饋,表面張力的作用會抑制擾動,水柱就能維持穩定。
那么,這種擾動到底會是一種正反饋,還是負反饋呢?我們來具體分析兩點的壓力變化:
在A點,z方向上產生了負曲率(半徑RA),而r方向上,由于半徑變小,曲率變大。也就是說,A點上的曲率變化產生了兩個效果:
柱面的正弦波導致負曲率,使得A點的壓力下降;
截面的半徑變小,導致A點壓力上升。
同理,我們也可以看到,在B點,兩個效應是相反的:
柱面正弦波導致正曲率,使得B點壓力上升;
截面半徑增大,導致B點壓力下降。
也就是說,擾動導致的z方向上的正弦波曲率將會升高B點壓力,降低A點壓力,導致負反饋,水柱穩定;而擾動導致水柱粗細的變化,將會升高A點壓力,降低B點壓力,導致正反饋,水柱崩解。
從直觀上我們立刻就知道,如果水柱很細,那么截面上的曲率很大,它的影響會顯著大于正弦波的影響,那么就會是正反饋,水柱崩解;反之,如果水柱很粗,那么截面上曲率很小,起到關鍵作用的將會是正弦波造成的曲率,那么就會是負反饋,水柱穩定。
這就是為何細水柱不穩定的原因。
那么,水柱到底多細,才會不穩定呢?下面我們來簡單計算一下:
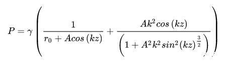
假定擾動所導致正弦波的形式如下:
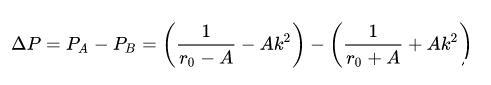
這里,是未受到擾動的水柱半徑,A表征擾動的大小,而k是波數,表示擾動范圍的大小。很容易,我們可以計算出兩個方向的曲率半徑,進而根據Young-Laplace方程計算出流體內部各處的壓力(我們假定外壓為零):
在A點,,在B點,,那么,我們可以得到:
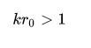
這就是擾動導致AB兩點的壓力差。根據上面的討論,當它小于0的時候,水柱就是穩定的,也就是說:
請注意,理論上,當水柱穩定的時候,它是可以抗拒任意小的擾動的,也就是說,在我們取的極限時,水柱仍然穩定。所以說,我們就得到了水柱穩定的條件如下:
從這個條件看,水柱的半徑越細,就越難滿足穩定條件,進而它就更容易崩解。
而在水向下自由流動的過程中,由于重力作用,它是在加速的,也就是說,越往下它流動速度越快,自然就會導致其越往下水柱越細:
所以,這就回答了題主的問題:
從高處往下倒水,為什么剛開始水是連成一條線,往下就成了散開的水珠?





