合作客戶/
拜耳公司 |
同濟大學 |
聯合大學 |
美國保潔 |
美國強生 |
瑞士羅氏 |
相關新聞Info
-
> pH、溫度、鹽度、碳源對 解烴菌BD-2產生物表面活性劑的影響——討論、結論
> 石油磺酸鹽中有效組分的結構與界面張力的關系
> 中心對稱分子稀土夾心雙酞菁銩LB膜制備及二次諧波產生機制
> 復合劑對不同基礎油界面張力的影響差異
> 生物表面活性劑產生菌菌體密度、細胞疏水性與發酵液pH及表面張力的關系(二)
> 多孔陶瓷的造孔方法|發泡劑摻量對多孔陶瓷材料性能的影響
> 一種綠色、高效、穩定的鹽酸沙拉沙星制備方法及步驟、裝備
> ?糖脂類生物表面活性劑在石油工業中的作用機制
> 人胰島素的朗繆爾單分子層膜的表面化學和光譜學性質——摘要、介紹
> 不同溫度下純有機物液體表面張力估算方法及關聯方程(一)
推薦新聞Info
-
> 不同礦漿濃度、粒度、伴生礦物、捕收劑和起泡劑對礦漿表面張力的影響(三)
> 不同礦漿濃度、粒度、伴生礦物、捕收劑和起泡劑對礦漿表面張力的影響(二)
> 不同礦漿濃度、粒度、伴生礦物、捕收劑和起泡劑對礦漿表面張力的影響(一)
> 長慶油田隴東地區的CQZP-1助排劑表/界面張力測量及現場應用(三)
> 長慶油田隴東地區的CQZP-1助排劑表/界面張力測量及現場應用(二)
> 長慶油田隴東地區的CQZP-1助排劑表/界面張力測量及現場應用(一)
> 液膜斷裂點與電壓最大值在表面張力測量中的對比研究(二)
> 液膜斷裂點與電壓最大值在表面張力測量中的對比研究(一)
> ?表面張力與表面張力系數測量:概念、方法與科學意義
> 微重力下二極對非均勻旋轉磁場控制半浮區液橋表面張力對流的數值研究(下)
球擬假絲酵母菌合成槐糖脂類表面活性劑、降解含油廢水的表面張力(二)
來源:《中國海洋大學學報(自然科學版)》 瀏覽 553 次 發布時間:2025-10-23
1.2.3培養液殘留原油的提取、純化和鑒定
采用重量法測定培養液中殘留原油。取培養液使用正己烷萃取至清澈,合并有機相,40℃減壓蒸餾除去正己烷得到原油,轉移至稱量瓶中氮氣吹干后稱取原油質量。然后稱取約0.1g剩余原油通過硅膠柱層析,參考美國EPA.8270E(SW-846)方法進行柱層析分離飽和烴和不飽和烴組分,利用氣相色譜質譜(GC-MS)聯用儀(TSQ8000Evo美國ThermoScientific公司)分別測定飽和烷烴(包括姥鮫烷、植烷)和多環芳烴組分含量,方法為:取烷烴和芳烴洗脫液利用GC-MS測定,載氣為He,載氣流速1.0 mL/min;無分流自動進樣,進樣量1μL;升溫程序為50℃保持2min,以6℃/min升溫至300℃,保持15 min;進樣口和檢測器溫度分別為280和300℃;質譜檢測器采用EI離子源;離子源溫度為230℃;定量采用SIM掃描方式。
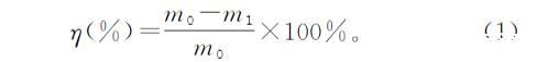
依據公式(1)計算石油烴降解率:
式中:m0表示對照培養液中殘余油含量(g·L-1);m1表示實驗組培養液中殘余油含量(g·L-1)。
1.2.4槐糖脂的提取、純化和鑒定
將培養10d后的發酵液經等體積的乙酸乙酯萃取兩次合并有機相,利用旋轉蒸發儀(RE-52A上海亞榮生化儀器)40℃減壓蒸餾除去乙酸乙酯得到黃色粗提產物。粗提產物用薄層層析(TLC)進行初步定性分析,以本實驗室由S.bombicola發酵生產純化后的槐糖脂純品為標準樣。展開劑為氯仿/甲醇/水(65∶15∶2,體積比)。顯色劑為苯酚-硫酸試劑,在105℃顯色5 min,糖類顯棕色斑點。
所提取的產物進一步通過高效液相色譜-質譜(HPLC-MS)聯用儀進行結構分析,簡述如下:取3.0g層析硅膠在110℃的溫度下活化4h后,填充到玻璃層析柱中(頂部加入1cm無水硫酸鈉),取0.05~0.1g粗產品溶于2 mL乙酸乙酯/甲醇(10∶1,體積比)混合溶劑中,用40 mL上述混合溶劑洗脫,再通過旋轉蒸發儀除去有機相得到槐糖脂純化品。采用高效液相色譜-高分辨串聯質譜聯用儀(1290 HPLC-BrukermaXis Q-TOF美國Agilent公司)測定純化品槐糖脂同系物的組分,色譜柱為Waters ACQUITY UPLC BEH130C182.1mm×150 mm×1.7μm。實驗條件:流動相A:V(甲酸)∶V(乙腈)∶V(水)=0.1∶1.0∶99.0;流動相B:V(甲酸)∶V(乙腈)=0.1∶100.0;流速為0.2 mL/min。等度洗脫條件為:流動相B的體積分數為80%。柱溫:30℃,進樣量:1μL,UV檢測波長:207nm,無分流進入質譜。質譜條件:電噴霧正離子模式;掃描范圍m/Z:200~1000;毛細管電壓:4.5kV;噴霧氣壓10342.5 Pa;干燥氣(N2)流速:6L/min;氣體溫度:80℃;分辨率:50000。
1.2.5菌體細胞電子顯微鏡觀察
通過透射電子顯微鏡(TEM)觀察不同培養階段S.bombicola細胞結構的變化。在培養第1天和第10天時分別移取添加原油濃度為0.5%的發酵液約10mL,在3500r·min-1,4℃條件下離心15 min后收集菌體。依次用2.5%的戊二醛和1%的四氧化鋨固定,30%~100%的乙醇系列脫水,然后用環氧樹脂包埋,切片,經醋酸鈾,檸檬酸鉛雙染色后用TEM觀察結構變化。
2結果與討論
2.1菌株O-13-1對采油廢水中石油烴的降解作用
在10d的降解時間內,接種S.bombicola的降解體系中油污染物被充分乳化分散為小油珠,培養液顏色明顯加深,而未接種O-13-1菌株的對照培養體系原油仍呈塊狀漂浮于培養液表面。圖1表示不同初始油濃度下經10d降解后的剩余原油量和原油降解率,結果表明,在10d的降解時間內,與空白對照相比,油濃度為0.3%、0.5%和0.8%的廢水中油污染物降解率分別提高了18.0%、16.9%和11.9%,這表明所接種的S.bombicola菌株對廢水中原油有明顯的強化降解作用,且隨廢水中油濃度的降低,生物降解率逐漸提高,這與Rahman等的研究結果基本一致。這可能是由于油濃度過高,對降解菌細胞具有一定的毒性,降解菌需要較長的時間適應調整。
正構烷烴的中等碳數(C17—C28)組分降解率變化趨勢如圖2所示。接種S.bombicola的培養體系中各組分下降明顯。油濃度為0.8%、0.5%和0.3%的降解體系中正構烷烴降解率分別為7.0%~12.8%、17.9%~44.0%和4.5%~27.7%,表明S.bombicola可對原油中正構烷烴組分進行生物降解。實際上,已有研究表明,S.bombicola可高效降解石油烴中的烷烴類組分。在降解過程中,原油首先被吸附于菌細胞表面。
圖1不同初始油濃度下經10d培養后剩余原油含量和原油降解率的變化
圖2油濃度為0.8%(a)、0.5%(b)和0.3%(c)的培養體系中正構烷烴的中等碳數組分降解率





