合作客戶/
拜耳公司 |
同濟大學 |
聯合大學 |
美國保潔 |
美國強生 |
瑞士羅氏 |
相關新聞Info
推薦新聞Info
-
> 不同礦漿濃度、粒度、伴生礦物、捕收劑和起泡劑對礦漿表面張力的影響(三)
> 不同礦漿濃度、粒度、伴生礦物、捕收劑和起泡劑對礦漿表面張力的影響(二)
> 不同礦漿濃度、粒度、伴生礦物、捕收劑和起泡劑對礦漿表面張力的影響(一)
> 長慶油田隴東地區的CQZP-1助排劑表/界面張力測量及現場應用(三)
> 長慶油田隴東地區的CQZP-1助排劑表/界面張力測量及現場應用(二)
> 長慶油田隴東地區的CQZP-1助排劑表/界面張力測量及現場應用(一)
> 液膜斷裂點與電壓最大值在表面張力測量中的對比研究(二)
> 液膜斷裂點與電壓最大值在表面張力測量中的對比研究(一)
> ?表面張力與表面張力系數測量:概念、方法與科學意義
> 微重力下二極對非均勻旋轉磁場控制半浮區液橋表面張力對流的數值研究(下)
表面張力與潤濕作用
來源:BzoneShanghai_博詹 瀏覽 1727 次 發布時間:2022-07-14
一、膠黏劑粘接機理
1、機械理論
機械理論認為,膠粘劑必須滲入被粘物表面的空隙內,并排除其界面上吸附的空氣,才能產生粘接作用。
2、弱邊界層理論
弱邊界層理論認為,當粘接破壞被認為是界面破壞時,實際上往往是內聚破壞或弱邊界層破壞。弱邊界層來自膠粘劑、被粘物、環境,或三者之間任意組合。如果雜質集中在粘接界面附近,并與被粘物結合不牢,在膠粘劑和被粘物內部都可出現弱邊界層。當發生破壞時,盡管多數發生在膠粘劑和被粘物界面,但實際上是弱邊界層的破壞。
3、擴散理論
擴散理論認為,粘接是通過膠粘劑與被粘物界面上分子擴散產生的。當膠粘劑和被粘物都是具有能夠運動的長鏈大分子聚合物時,擴散理論基本是適用的。熱塑性塑料的溶劑粘接和熱焊接可以認為是分子擴散的結果。
4、靜電理論
由于在膠粘劑與被粘物界面上形成雙電層而產生了靜電引力,即相互分離的阻力。當膠粘劑從被粘物上剝離時有明顯的電荷存在,則是對該理論有力的證實。
5、吸附理論
吸附理論認為,粘接是由兩材料間分子接觸和界面力產生所引起的。粘接力的主要來源是分子間作用力包括氫鍵力和范德華力。膠粘劑與被粘物連續接觸的過程叫潤濕,要使膠粘劑潤濕固體表面,膠粘劑的表面張力應小于固體的臨界表面張力,膠粘劑浸入固體表面的凹陷與空隙就形成良好潤濕。
二、界面現象
多種研究結果表明,兩相的接觸面(通常約為幾個分子的厚度)處,其結構、性質與兩側體相均不同。這種接觸面就是界面。
氣-液界面(液體表面)
氣-固界面(固體表面)
液-液界面
液-固界面
固-固界面
三、表面張力
(一)、處于液體體相內的任一分子受到其周圍四面八方分子的作用是相等的,可以抵消,故在液體內部分子的移動無需做功。處于液體表面上的分子受到液體內部分子的作用力遠大于另一側氣體(或蒸氣)分子的作用力,因而液體表面分子有自動向液體內部遷移的趨勢,這種趨勢的表現之一是液體表面自動縮小,表現之二為欲擴大表面需外界做功。
表面張力的力學定義是作用于液體表面上任何部分單位長度直線上的收縮力,力的方向是與該直線垂直并與液面相切。單位為mN·m-1。
(二)、決定和影響液體表面張力的主要因素
1.物質的本性
液體的表面張力(或表面自由能)表示將液體分子從體相拉到表面上所做功的大小,故于液體分子間相互作用力的性質與大小有關。相互作用強烈,不易脫離體相,表面張力就大。
2.溫度的影響
溫度升高,分子鍵引力減弱,故表面張力多隨溫度升高而減小。同時,溫度升高液體的飽和蒸氣壓增大,氣相中分子密度增加,也是氣相分子對液體表面分子的引力增大,導致液體表面張力減小。當溫度達到臨界溫度Tc時,液相與氣相界線消失,表面張力降為零。
3.壓力的影響
隨壓力增大,表面張力減小。低壓下影響不明顯,高壓下可能引起比較明顯的變化。
四、潤濕作用與接觸角
(一).潤濕作用
凝聚態物體表面一種流體被另一種流體取代的過程稱為潤濕。潤濕過程分為三類,即在日常生活中經常遇到的沾濕、浸濕和鋪展。
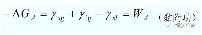
沾濕:液體取代固體表面氣體,液體不能完全展開的過程稱為沾濕。
當WA>0時,即?GA<0時,沾濕過程才是自發的。
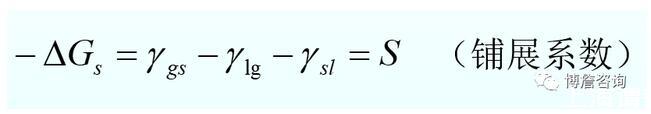
液體在固體表面展開成薄層,此過程稱為鋪展。鋪展是固氣界面消失,氣液界面和固液界面形成的過程。
鋪展系數S>0,過程自發進行。
固體浸于液體中的過程稱為浸濕。此過程是固氣界面被固液界面取代,氣液界面無變化,此過程自由能變化為
WI>0,過程自發進行。
將一液體滴到一平滑均勻的固體表面上,若不鋪展,將形成一平衡液滴,其形狀由固液氣三相交界面處所作氣液界面之切線經液滴至固液界面所成之夾角決定,此角稱為該種液體在所研究固體表面上之接觸角,或稱潤濕角。接觸角常以θ表示。
該式稱為Young方程或潤濕方程。θ越小,潤濕過程越易進行。習慣上,θ>90℃,為不潤濕,θ<90℃,為潤濕。
(二).決定和影響接觸角大小的一些因素
1.物質的本性
由楊氏方程,θ由γsg,γsl,γlg決定。對于指定的固體,液體表面張力越小,其在該固體上的θ也越小。對于同一液體,固體表面能越大,θ越小。
θ反應了液體與固體表面親和作用大小,親和力越強越易于在表面上展開,θ越小。
若液體與固面無相對運動時,所形成的兩個接觸角是相等的即平衡接觸角θe;若液體與固體發生相對運動時,則會形成兩個不同的接觸角。較大的θa稱為前進接觸角,較小的θr稱為后退接觸角。這種θa>θr的現象稱為接觸角滯后。
2.1表面粗糙性
表面粗糙度:真實的粗糙的固體表面積與相同體積固體完全平滑表面積之比。用r來表示,r≥1,r越大,表面越粗糙。
某液體在粗糙表面上的表觀接觸角θ′與在同一固體平滑面上接觸角θ有下述關系:
2.2表面不均勻性
因各種原因固體表面有不同表面能的區域使得θ大小與表面組成有關。若表面由性質1和2的物質組成,各占表面分數f1和f2,某種液體在各純組成的物質上的θ分別為θ1和θ2,混合表面的θ為:
3.吸附及其他因素對接觸角的影響
固體表面,特別是高能固體表面能自發地從周圍環境中吸附某些組分而降低表面能,同時也改變了表面性質,從而影響θ大小。
其他如溫度,液滴形成時間等都能對接觸角產生影響。
五、潤濕現象應用
一般聚四氟乙烯不易潤濕,因為它的γs-g較小,這是此類塑料電鍍的難題,若將聚四氟乙烯浸在含Fe3+(3.7×10-2mol/L)溶液中浸泡16min后,前進角由105°±2°變為54°±2°,后退角由107°±3°變為0°。
棉布被水潤濕不防水,若在棉布中加入氟代烷基類的化合物,讓極性基吸附于棉布上形成定向排列吸附層,就增大了接觸角(γs-g減小),從而使憎水性加強,達到了防雨的目的。
低能表面與高能表面
已知有機固體(如石蠟,聚乙烯等)的表面能都小于100mJ·m-2,無機固體(如NaCl,CaO,Ag,云母等)表面能都大于100mJ·m-2。認為界定,前者為低表面能固體,其表面為低能表面;后者為高表面能固體,其表面為高能表面。
金屬原子之間的作用力是由離域電子維系的,作用力大小幾乎等同于化學鍵。而有機物分子之間的作用力為范德華力,比化學鍵力要小得多。表面原子所處的力場不均勻性越大,表面能越高。
固體表面能大小決定了其可潤濕性質。液體在固體表面能自發鋪展的基本條件是液體表面張力小于固體的表面能。液體表面張力越低,越有利于鋪展進行。
能使低能固體表面潤濕的液體較少。表征低能表面潤濕性質的經驗參數是臨界(潤濕)表面張力,臨界表面張力,常以rc表示。其物理意義是:表面張力低于rc的液體方能在此低能表面上鋪展。
比如聚四氟乙烯的γc=18mN·m-1,γ水=72.8mN·m-1,相差很大,故可作為防水、抗水材料。
當未固化環氧傾倒于聚乙烯上并固化時,附著力即使有也很低,而將聚乙烯熔融并涂于已固化環氧樹脂上,附著力相當強。在第一種情況下,高表面能液體,如環氧樹脂不會潤濕低表面能固體,如γc較低的聚乙烯;在第二種情況下,液體聚乙烯的表面能比固化的環氧低,有利于潤濕。





