合作客戶/
拜耳公司 |
同濟大學 |
聯合大學 |
美國保潔 |
美國強生 |
瑞士羅氏 |
相關新聞Info
-
> 密封防拆射頻標簽的安裝時,需要考慮表面張力嗎?
> 正己醇聚氧乙烯醚硫酸鈉、正己醇聚氧丙烯醚硫酸鈉水溶液平衡表面張力、動態表面張力測定(一)
> 下雨天開車雨水影響視線,肥皂涂層破壞水的表面張力
> 明確巖心孔喉大小及分布,構建低滲透油藏CO2驅開發全過程動態預測模型(二)
> 無機粒子對TPAE界面張力、發泡、抗收縮行為的影響(三)
> 液體表界面張力測試的注意事項
> 界面張力儀評估氨基化氧化石墨烯-脂肪酸共吸附機制、應用潛力(三)
> 基于粒徑、速度、表面張力、黏度測定揭示塵粒?霧滴碰撞行為規律(四)
> 表面活性劑在口服液體制劑中的應用
> 七葉皂素分子在氣-液、液-液(油-水)、固-液界面上的界面行為研究(一)
推薦新聞Info
-
> 不同礦漿濃度、粒度、伴生礦物、捕收劑和起泡劑對礦漿表面張力的影響(三)
> 不同礦漿濃度、粒度、伴生礦物、捕收劑和起泡劑對礦漿表面張力的影響(二)
> 不同礦漿濃度、粒度、伴生礦物、捕收劑和起泡劑對礦漿表面張力的影響(一)
> 長慶油田隴東地區的CQZP-1助排劑表/界面張力測量及現場應用(三)
> 長慶油田隴東地區的CQZP-1助排劑表/界面張力測量及現場應用(二)
> 長慶油田隴東地區的CQZP-1助排劑表/界面張力測量及現場應用(一)
> 液膜斷裂點與電壓最大值在表面張力測量中的對比研究(二)
> 液膜斷裂點與電壓最大值在表面張力測量中的對比研究(一)
> ?表面張力與表面張力系數測量:概念、方法與科學意義
> 微重力下二極對非均勻旋轉磁場控制半浮區液橋表面張力對流的數值研究(下)
產低溫β-甘露聚糖酶的菌株O5提升低溫油藏壓裂液的破膠性能——實驗部分
來源:應用化學 熊玉華, 周蕾, 楊世忠, 牟伯中 瀏覽 1258 次 發布時間:2024-09-11
1、實驗部分
1.1儀器和試劑
SpectraMax M5型多功能酶標儀(美國Molecular Devices公司);MB100-4A型微孔板恒溫震蕩器(杭州奧盛儀器有限公司);ZHLY-180型立式恒溫振蕩培養箱(上海知楚儀器有限公司);Sigma 3K15型臺式高速冷凍離心機(德國希格瑪公司);ProFlex型PCR儀(美國賽默飛公司);DV-ⅢULTRA型粘度計(美國Brookfield公司);旋轉滴法界面張力儀(芬蘭Kibron公司);EZ-Pi Plus便攜式動態表面張力儀(芬蘭Kibron公司)。
瓜爾膠為工業級,由長慶鈺宸公司提供;葡萄糖、NaCl、KH2PO4、Na2HPO4、MgSO4、NH4NO3、CuSO4、Na2MoO4·2H2O、FeSO4·7H2O、KCl、CaCl2、MnCl2·4H2O、D-?甘露糖和3,?5-?二硝基水楊酸(3,?5-Dinitrosalicylic acid,DNS)均為分析純試劑;胰蛋白胨、大豆蛋白胨、酵母粉、蛋白胨、植物凝膠和瓊脂均為生物試劑;細菌基因組DNA抽提試劑盒購買于德國凱杰QIAGEN公司;細菌16S rRNA基因通用引物8F(5'-AGAGTTTGATCCTGGCTCAG-3')和805R(5'-GACTACCAGGGTATCTAATC-3')由南京金斯瑞生物科技股份有限公司合成。
1.2實驗方法
1.2.1樣品來源與培養基
本實驗所用的水樣是由長慶油田提供的壓裂液返排水,土樣采自云南省楚雄市魔芋生產田地。
富集培養基:胰蛋白胨15.0 g/L、大豆蛋白胨5.0 g/L、酵母粉2.5 g/L、葡萄糖2.5 g/L、NaCl 5.0 g/L、KH2PO4 2.5 g/L;固體初篩培養基:瓜爾膠10.0 g/L、KH2PO4 2.5 g/L、Na2HPO4 4.0 g/L、MgSO4 0.2 g/L、植物凝膠15.0 g/L、NH4NO3 1.0 g/L;復篩培養基:瓜爾膠10.0 g/L、NH4NO3 1.0 g/L、KH2PO4 2.5 g/L、Na2HPO4 4.0 g/L、MgSO4 0.2 g/L、酵母粉0.5 g/L、微量元素1.0%(體積分數);發酵產酶培養基:瓜爾膠15.0 g/L、NH4NO3 1.0 g/L、KH2PO4 2.5 g/L、Na2HPO4 4.0 g/L、MgSO4 0.2 g/L、酵母粉0.5 g/L、微量元素1.0%(體積分數);微量元素配方:CuSO4 0.1 g/L、Na2MoO4·2H2O 0.1 g/L、FeSO4·7H2O 2.0 g/L、CaCl2 1.0 g/L、MnCl2·4H2O 0.5 g/L;種子培養基:蛋白胨10.0 g/L、酵母粉5.0 g/L、NaCl 10.0 g/L;LB固體培養基:蛋白胨10.0 g/L、酵母粉5.0 g/L、NaCl 10.0 g/L、瓊脂18.0 g/L。以上培養基在使用前,均在121℃高壓滅菌20 min。
1.2.2菌株的高通量篩選
稱取1.0 g魔芋地土樣于錐形瓶中(魔芋地的土壤環境適合β-甘露聚糖酶產生菌的生長),加入5.0 mL水樣和100.0 mL蒸餾水,在37℃、180 r/min的立式恒溫振蕩培養箱(搖床)中震蕩培養30 min,充分混勻后室溫靜置1 h,分層后取2.0 mL上層清液轉接于200.0 mL富集培養基中培養,37℃、180 r/min恒溫震蕩48 h。取200.0μL富集培養的菌液均勻涂布于以瓜爾膠為唯一碳源的OD 90 mm(培養基直徑為90 mm)固體初篩培養基上,倒置培養60 h,之后用1.0%(質量分數)剛果紅染液染色,觀察菌落周圍有無透明圈,挑取透明圈大的單菌落轉接到于裝有2.0 mL復篩培養基的96孔培養板中繼續培養,在微孔板恒溫震蕩器中37℃、500 r/min震蕩培養48 h。將培養后的發酵液置于臺式高速冷凍離心機(離心機)中,4℃、3000 r/min離心20 min,上清液即為粗酶液,根據瓜爾膠降解情況及酶活力大小進行復篩,同時進行甘油保藏(甘油和LB溶液的體積比為1∶1)。
1.2.3菌株的形態觀察及種屬鑒定
形態特征觀察將篩選得到的菌株接種于種子培養基中,37℃、180 r/min活化培養,取對數生長期菌液稀釋涂布于LB固體培養基上,37℃倒置培養,觀察菌落的形態特征。采用革蘭氏染色法,在顯微鏡下觀察菌體結構,并通過掃描電子顯微鏡觀察菌體形態及大小。
分子生物學鑒定按照細菌基因組DNA抽提試劑盒說明書進行DNA的提取,以基因組DNA為模版,采用細菌的通用引物8F和805R進行PCR(聚合酶鏈式反應)擴增。對PCR產物進行瓊脂糖凝膠電泳檢測后,送至上海華大基因科技有限公司測序。將測序結果在NCBI數據庫中(http://www.ncbi.nlm.gov/blast/)進行BLAST同源性比對(BLAST是在NCBI數據庫中進行相似性分析的工具),并利用MEGA軟件的N-J法構建系統發育進化樹。
1.2.4酶活力的測定
采用3,5-二硝基水楊酸法對β-甘露聚糖酶酶活力進行測定,用pH=7.0的PBS緩沖液(每100 mL PBS緩沖液由38 mL 0.2 mol/L的Na2HPO4和62 mL 0.2 mol/L的KH2PO4配成)配制0.5%(質量分數)的瓜爾膠底物溶液。反應體系包含50.0μL粗酶液和450.0μL的瓜爾膠底物溶液,50℃反應10 min后,加入1.0 mL的DNS試劑終止反應,沸水浴10 min顯色后,立刻冰水浴冷卻至室溫。取200.0μL反應液轉移至96孔板中,在540 nm處用多功能酶標儀測定吸光度,實驗每組設置3個平行,結果取平均值。以不同濃度D-甘露糖為標準品制作標準曲線,并根據標準曲線計算產生的還原糖量。在一定溫度和pH值條件下,1 min催化底物水解產生1.0μmol相當于D-甘露糖的還原糖所需要的酶量,定義為1.0個酶活力單位。采用Bradford法測定蛋白質濃度,比活的定義為:每毫克酶蛋白所具有的酶活力。
1.2.5酶學性質表征
粗酶液的制備在無菌環境下將篩選得到的菌株接種到種子培養基中,37℃、180 r/min活化培養24 h,按5.0%的接種量轉接到發酵產酶培養基中,37℃、180 r/min搖床培養72 h,將發酵液于4℃下,9000 r/min離心20 min,收集上清液,上清液即為粗酶液,于4℃冰箱冷藏備用。
最適溫度按照1.2.4小節的方法分別在不同溫度:5、10、15、20、25、30、35、40、50、60、70、80、90和100℃下反應,測定β-甘露聚糖酶活力。以未經處理的同溫度下的瓜爾膠底物溶液作為空白對照。以最適溫度下的酶活力為100%,計算不同溫度下的相對酶活力。實驗每組設置3個平行樣,結果取平均值(下同)。
最適pH值分別用pH值為2.0、3.0、4.0、5.0、6.0、7.0、8.0、9.0、10.0、11.0和12.0的緩沖液配制0.5%(質量分數)瓜爾膠底物溶液,按照1.2.4小節的方法在最適溫度下測定β-甘露聚糖酶活力。以未經處理的相同pH值的瓜爾膠底物溶液作為空白對照。以最適pH值下的酶活力為100%,計算不同pH值下的相對酶活力。
熱穩定性將粗酶液分別在60、70和80℃的恒溫水浴中孵育1 h,孵育期間每隔10 min取50.0μL該粗酶液加入瓜爾膠底物溶液中,按照1.2.4小節的方法在最適反應條件下測定β-甘露聚糖酶的殘余活力,以評價酶的熱穩定性。
pH值穩定性將粗酶液分別在pH值為4.0、5.0、6.0、7.0、8.0和9.0的緩沖液中孵育2 h,孵育期間每隔20 min取50.0μL該粗酶液加入瓜爾膠底物溶液混勻。按照1.2.4小節的方法在最適條件下測定β-甘露聚糖酶的殘余活力,以評價酶的pH值穩定性。
1.2.6低溫降解瓜爾膠
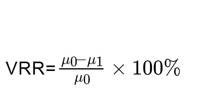
配制0.8%(質量分數)的瓜爾膠底物溶液,加入1.0%(體積分數)的粗酶液,分別在5和20℃下恒溫水浴,測定不同作用時間下瓜爾膠溶液的粘度變化,每次測量3次取平均值。以未經處理的瓜爾膠溶液作為空白對照,評價反應溫度為5和20℃時,β-甘露聚糖酶對瓜爾膠的降粘效果。降粘率(Viscosity Reduction Rate,VRR)的計算如公式(1)所示:
式中,μ0為降粘前的粘度(mPa?s),μ1為降粘后粘度(mPa?s)。
1.2.7破膠性能評價
壓裂液的配制按照國標SY/T 5107-2016《水基壓裂液性能評價方法》中壓裂液試樣制備方法制備壓裂液。壓裂液配方為:基液:0.35%(質量分數)瓜爾膠、1.0%(質量分數)KCl、0.1%(質量分數)殺菌劑、0.18%(質量分數)Na2CO3、0.036%(質量分數)NaHCO3;交聯液:1.0%(體積分數)硼砂溶液,交聯劑比為100∶5(體積比);酶破膠劑:1.0%(體積分數)。
粘度的測定按配方配制壓裂液,將加入酶破膠劑的凍膠分別置于5、10、15、20、25、30、40、50、60、70、80和90℃的恒溫水浴中,在破膠3和6 h時取其上層清液,于室溫下用粘度計測定破膠液的粘度,每次測量3次取平均值(下同)。
表面張力和界面張力的測定待壓裂液交聯后,加入酶破膠劑,分別在10、20和50℃的恒溫水浴中破膠3 h,待破膠液的粘度降低到5 mPa·s以下后,將破膠液倒入燒杯中,用表面張力儀測定破膠液的表面張力,用界面張力儀測定破膠液與煤油界面張力,測試溫度為50℃。
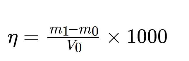
殘渣量的測定按照國標SY/T 5107-2016《水基壓裂液性能評價方法》中指出的殘渣量的檢測方法進行測定。制備定量體積V0的壓裂液凍膠,加入酶破膠劑,分別置于10、20和50℃的恒溫水浴中破膠。室溫測定破膠液粘度低于5 mPa·s時視為徹底破膠。將徹底破膠后的溶液全部轉移到已經烘干稱重的離心管中(質量記為m0),在離心機中5000 r/min離心30 min,慢慢倒出上層清液,然后用蒸餾水清洗破膠容器后倒入離心管中,再次離心20 min并倒出上層清液。將離心管放入干燥箱中105℃下烘干至恒重(質量記為m1)。壓裂液殘渣含量計算如公式(2)所示:
式中,η為壓裂液殘渣質量濃度(mg/L);(m1-m0)為殘渣質量(mg);V0為壓裂液用量(mL)。
產低溫β-甘露聚糖酶的菌株O5提升低溫油藏壓裂液的破膠性能——摘要





