合作客戶/
拜耳公司 |
同濟大學 |
聯合大學 |
美國保潔 |
美國強生 |
瑞士羅氏 |
相關新聞Info
推薦新聞Info
-
> 不同礦漿濃度、粒度、伴生礦物、捕收劑和起泡劑對礦漿表面張力的影響(三)
> 不同礦漿濃度、粒度、伴生礦物、捕收劑和起泡劑對礦漿表面張力的影響(二)
> 不同礦漿濃度、粒度、伴生礦物、捕收劑和起泡劑對礦漿表面張力的影響(一)
> 長慶油田隴東地區的CQZP-1助排劑表/界面張力測量及現場應用(三)
> 長慶油田隴東地區的CQZP-1助排劑表/界面張力測量及現場應用(二)
> 長慶油田隴東地區的CQZP-1助排劑表/界面張力測量及現場應用(一)
> 液膜斷裂點與電壓最大值在表面張力測量中的對比研究(二)
> 液膜斷裂點與電壓最大值在表面張力測量中的對比研究(一)
> ?表面張力與表面張力系數測量:概念、方法與科學意義
> 微重力下二極對非均勻旋轉磁場控制半浮區液橋表面張力對流的數值研究(下)
固體、鹽溶液表面張力測量及與其在潔凈硅橡膠表面接觸角的關系研究(一)
來源:電瓷避雷器 瀏覽 938 次 發布時間:2025-07-10
在實際電力系統線路運行環境中,硅橡膠表面的不同染污程度和水滴吸收污層鹽分共同作用影響硅橡膠表面液滴接觸角的大小。采用懸滴法測量鹽溶液表面張力和理論計算法測量污層表面張力,并對比鹽溶液在潔凈硅橡膠表面的接觸角和水在污層表面的接觸角,分別分析液體表面張力和固體表面張力對液滴形態的影響規律。結果表明,對于鹽溶液液滴,隨著NaCl濃度增大,其表面張力增大,鹽液滴在潔凈硅橡膠表面的接觸角增大;對于污層表面,由于鹽密增大,固體表面張力增大,故即使水液滴吸收了污層中鹽分使得自身表面張力增大,液滴接觸角仍減小;并且在實際運行情況下,液滴接觸角受污層性質的影響較大。
硅橡膠復合絕緣子具有優良的耐污閃性能,近些年硅橡膠復合絕緣子的使用數量日益增加。在中國,已有超過400萬支復合絕緣子應用于輸電線路上。
在染污硅橡膠表面,水分呈現的形態關系著污閃電壓的大小,若水分形成連續的水膜而不是獨立的水珠,絕緣子的污閃電壓相對較低。國內外學者對人工污穢下的憎水性變化規律、憎水性喪失及憎水遷移性的機理等方面做出了研究。大量研究表明,硅橡膠材料的憎水性和憎水遷移性受到硅橡膠本體的配方和污層厚度等因素的影響,也會受到污穢成分和所處環境的影響。]對灰成分和憎水性遷移時間與復合絕緣子污閃特性進行研究。對比了不同鹽密和灰密的污層對憎水性和憎水遷移性的影響,結果表明灰密對硅橡膠憎水遷移性的影響比鹽密更明顯。憎水性和憎水性遷移程度直接關系到復合絕緣子的耐污閃性能。
在實際運行環境下,絕緣子污層中的污穢成分復雜,對絕緣表面的特性造成的影響各異。不同性質的污層會影響液滴在污層表面的擴散,并且鹽分被液滴吸收從而使液滴性質發生改變,因此水分在不同污層表面上呈現的形態及變化過程是復雜的。目前已有研究針對不同的污層種類和液滴的形態對憎水性和污閃電壓的影響進行研究,但單獨改變污層的性質無法全面地模擬出實際運行條件下水分在硅橡膠表面的呈現形態和接觸角的變化過程。
由于表面張力的表征是許多生產過程和自然現象的基礎,表面張力可反映液體和固體兩者的性質。染污硅橡膠表面上液滴的接觸角受到液滴和污層的表面張力影響,因此可測量鹽溶液和污層的表面張力說明兩者在液滴接觸角的變化過程中的作用以及表面張力與液滴形態的關系。固體表面張力測量的主要方法有Zisman法、狀態方程法、表面張力分量法等,國內朱定一等人推導出了計算固體表面張力的新方法。
筆者通過采用測量不同污層和鹽溶液的表面張力,并測量純水在污層上的接觸角和鹽溶液在潔凈硅橡膠表面上的接觸角的研究方法,從液體和固體的表面張力的角度,分別討論了液滴在不同染污表面和液滴自身的鹽分變化對接觸角的影響程度,為實際運行狀態下液滴接觸角的表征及其變化規律提供參考。
1試驗方法
1.1表面張力測試
1.1.1液體表面張力測試方法
筆者采用液體表面張力的測量方法為懸滴法,即通過測量懸掛著的液滴的外形參數而推算出液體表面張力,如圖1所示。在憎水角測試儀配套的微量進樣器中滴出液滴,拍攝液滴照片,讀取液滴形態參數的像素值,根據測量滴管的實際尺寸和像素值,獲得像素值和實際尺寸的比例,換算實際液滴的尺寸參數,并根據公式推算表面張力。
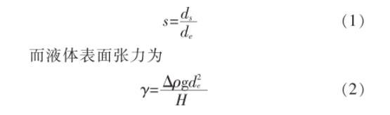
選用液滴的體積為2μL,保證液滴穩定之后,獲取液滴照片。測量液滴直徑d,從懸滴液最低點上方垂直距離為的位置讀出縱坐標的值,在該縱坐標的位置得到液滴在該位置上的寬度ds。定義:
而液體表面張力為
式(2)中為液體和空氣之間的密度差,g為重力加速度,而根據經驗公式和推導證明,認為S和1/H是反應液滴形狀的參數,可查表得到兩者的固定關系,根據此關系將S代入表面張力計算,可以得到液體表面張力。
圖1液體表面張力測量示意圖
當實驗室溫度為22℃時,de為1.44 mm,ds為0.57 mm,用懸滴法測量水的表面張力為72.02 mN/m,由于純水在22℃下的表面張力為72.44 mN/m,可驗證懸滴法在本研究中的有效性。
1.1.2固體表面張力測試方法
本文采用理論計算法測量固體表面張力。理論計算法為選用兩種已知表面張力的液體,測量其在被測固體表面的接觸角,通過公式計算得固體表面張力γc。根據Young’s方程推導出公式:
式中:θa1表示一種液體在被測固體表面上的接觸角;θa2表示另一種液體在被測固體表面上的接觸角;γc為被測固體表面的表面張力;為γa1第一種滴落的液體的表面張力,γa2為第二種滴落的液體的表面張力;b為一個待定參數,消去常數b,計算固體表面張力。本文選用水和甘油作為測試固體表面張力的試品,測量不同液滴接觸角,計算獲得表面張力。
當實驗室溫度為22℃時,測量得到水在潔凈硅橡膠表面的接觸角為100.41°,甘油在潔凈硅橡膠表面的接觸角為79.22°,水的表面張力為72.02 mN/m,甘油的表面張力為59.4 mN/m,代入公式(3)算得潔凈硅橡膠表面張力為31.46 mN/m。在室溫下,硅橡膠材料的表面張力的大致范圍為15~35 mN/m,因此該方法可滿足本研究中的要求。





